Блог учителя математики Червоненської ЗОШ І-ІІІ ступенів Золочівського району Львівської області Захарчук Лілії Іванівни
середа, 31 березня 2021 р.
середа, 24 березня 2021 р.
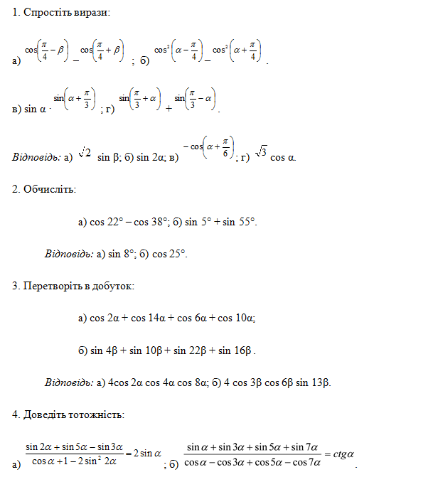
Урок №30 Тема: Формули суми (різниці) однойменних тригонометричних функцій. Перетворення добутку тригонометричних функцій у суму
Домашнє завдання
Вивчити формули суми (різниці) однойменних тригонометричних функцій та формули перетворення добутку тригонометричних функцій у суму. § 12, № 443, 444.
середа, 17 березня 2021 р.
Підписатися на:
Коментарі (Atom)

















































