
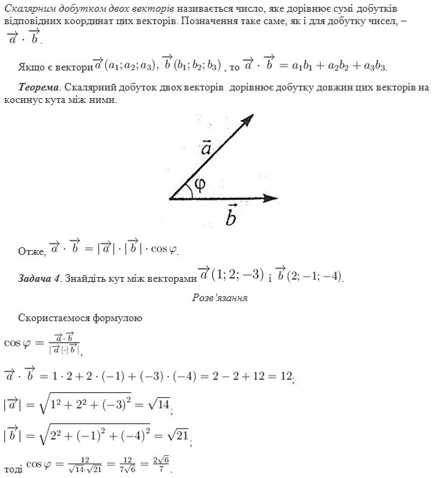
Математична скриня
Блог учителя математики Червоненської ЗОШ І-ІІІ ступенів Золочівського району Львівської області Захарчук Лілії Іванівни
середа, 28 квітня 2021 р.
середа, 21 квітня 2021 р.
Урок №34 Тема: Тригонометричні нерівності
Нерівності, що містять sin(x), cos(x), tg(x), ctg(x) з однієї сторони
від знаку нерівностей (<,≤,>,≥) називають найпростішими
тригонометричними нерівностями. Приклади найпростіших тригонометричних
нерівностей мають вигляд:
sin(x)≤√2/2, cos(x)>-1/2, tg(x)<1, ctg(x)≥√3 і тому подібних.
Якщо маємо знаки < або > то нерівність називається строгою, якщо ≤ або ≥ то
нерівність є нестрогою.
Розв'язати тригонометричну нерівність означає знайти множину
значень аргументу "ікса", включаючи періодичність функцій, при яких
виконується нерівність.
Важливо, щоб в синусах та косинусах права сторона за знаком нерівності не
перевищувала за модулем одиниці. Інакше виходимо за межі ОДЗ цих функцій і такі
нерівності не мають коренів. Тому спершу перевіряємо область допустимих
значень, а далі розв'язуємо нерівність. Тангенс та котангенс не потрібно
перевіряти на ОДЗ оскільки вони приймають як завгодно як великі, так і малі
значення. Однак, вони мають розриви в точках вертикальних асимптот, що
призводить до скорочення інтервалу розв'язків.
Під складними тригонометричними нерівностями мають на увазі
такі, де аргумент міститься під модулем, коренем квадратним, з множником або ж
маємо комбінацію тригонометричних функцій чи над нею виконуються певні дії
(модуль, квадрат, корінь і т.д.)
Розв'язання: Спершу перевіряємо праву частину нерівності на входження в ОДЗ синуса. Для косинуса таку перевірку теж робіть.
Здебільшого викладачі вимагають виконувати перевірку на ОДЗ функцій.
Оскільки умова виконується|√2/2|≤1, то розв'язок нерівності для синуса існує.
Далі є два методи розкриття нерівності:
Графічно з побудовою заданих функцій (їх не важко будувати) і з використанням одиничного кола.
Другий спосіб більш поширений на практиці, оскільки будувати одиничне коло і наносити на нього прямі куди простіше ніж повні графіки функцій.
Однак і про перший метод Ви повинні знати, та вміти знаходити розв'язки тригонометричних нерівностей.
І спосіб:
Побудуємо в одній системі координат графіки функцій y=sin(x) і y=√2/2 та виділимо проміжки, на яких графік функції y=sin(x) розташований нижче від графіка прямої y=√2/2.
Нижче, оскільки заданий знак нерівності строго менше.
Якщо нерівність нестрога, то точки перетину включаємо в розв'язок і дістаємо проміжок.
Урок №42 Тема: Ознаки сталості, зростання та спадання функції
З усіх способів задання функції найбільш наочним є графічний. У попередніх класах ми навчилися «читати» графіки, тобто
визначати властивості функції за її графіком.
За допомогою похідної можна розв’язати
й обернену задачу: побудувати графік функції, знаючи її властивості.
Одне з основних завдань під час дослідження функції і побудови її
графіка - це знаходження проміжків зростання, спадання та сталості функції.
Таке дослідження можна провести за допомогою похідної.
Нагадаємо, що функцію називають зростаючою на деякому проміжку, якщо
більшому значенню аргументу із цього проміжку відповідає більше значення
функції;
функцію називають спадною на деякому
проміжку, якщо більшому значенню аргументу із цього проміжку відповідає менше
значення функції.
Проміжки, на яких функція зростає чи
спадає, ще називають проміжками монотонності.
На малюнку 21.1 зображено зростаючу на проміжку (а; b) функцію у = f(x). У якій би точці цього проміжку ми не провели дотичну до графіка функції, кут a, який вона утворюватиме з додатним напрямом осі абсцис, буде гострим. Оскільки a - гострий, то tga > 0. Але tg a = f'(x0), де x0 - абсциса точки дотику, тому для будь-якої точки х0 ∈ (а; b) справджується умова f'(x0) > 0.




Мал. 21.2
На малюнку 21.2 зображено графік спадної на проміжку (а; b) функції у = f(x). У кожній точці цього проміжку дотична до графіка функції утворюватиме з додатним напрямом осі абсцис кут a , що є тупим. Оскільки a- тупий, то tga < 0 і тому f'(x0) < 0 для кожної точки x0 ∈ (а; b).
Отже,
знаючи, зростає чи спадає функція на певному проміжку, можна визначити знак
похідної на цьому проміжку. А можна і навпаки, за знаком похідної функції на
проміжку визначити, зростає ця функція, спадає чи є сталою на цьому проміжку.
Теорема 1
(ознака сталості функції). Функція у = f(x) є сталою на проміжку (a; b) тоді і
тільки тоді, коли f'(x) = 0 для кожного х із цього проміжку.
Теорема 2
(ознака зростання, спадання функції). Якщо f'(x) > 0 в кожній точці проміжку
(a; b), то функція у = f(x) зростає на (a; b). Якщо f'(x) < 0 в кожній точці
проміжку (а; b), то функція у = f(x) спадає на (а; b).
Строгі
доведення цих теорем є досить громіздкими, тому ми їх не наводимо. Зауважимо
лише, що теорему 1 ще називають необхідною і достатньою умовою сталості
функції, а теорему 2 - достатньою умовою зростання або спадання функції.
Задача
1. Знайти проміжки зростання і спадання функції:
1)
f(x) = х3 + 2х; 2) f(х) = cosx - 1,5х.
Розв’язання.
1) За теоремою 2, щоб знайти проміжки зростання функції, треба розв’язати
нерівність f'(x) > 0. Маємо: f'(x) - 3х2 + 2. Оскільки 3х2 +
2 > 0 для всіх значень х, то f’(x) > 0 для всіх значень х. Отже, функція
f(х) = х3 + 2х зростає на всій області визначення, тобто на R.
2)
Маємо: f'(х) = -sinx - 1,5. Але -1 ≤ -sinx ≤ 1, тому -sinx - 1,5 < 0 для
всіх значень х, тобто f'(x) < 0 для всіх значень х. Отже, функція f(х) =
cosx - 1,5х спадає на всій області визначення, тобто на R.
Відповідь.
1) Зростає на R; 2) спадає на R.
Домашнє завдання
§17, № 624, 625
(Г.П.Бевз)






















